近日,beat365在线唯一官网物理与材料工程学院新能源材料与器件系倪江利在国际学术期刊《Chinese Journal of Physics》(中国科学院二区,IF=5)上发表题为“Excellent high frequency magnetic loss and novel loss behavior of FeSiAl/hBN composites”的研究工作,相关研究采用球磨工艺将具有类石墨结构的六角氮化硼(hBN)包覆在FeSiAl合金颗粒表面,极大的降低了合金颗粒间的涡流损耗,制备出具有高电阻率、低损耗和截止频率高的软磁复合材料,为功率电子系统中磁性器件提供一定的应用价值。
FeSiAl合金粉末因具有高磁导率、低矫顽力、高饱和磁化强度、低损耗和良好的抗饱和特性等优点,广泛应用于通讯、能源、汽车、家电和军工等领域。随着社会的发展,电子器件向小型化、轻量化和高频化等方向发展,金属软磁复合材料需要更优异的磁性能。为了解决以上问题,研究团队选取了具有良好的导热性、高温绝缘性、密度低、比表面积大、机械强度高和稳定的化学性能的hBN,采用球磨产生的剪切力和压缩力破坏连接层与层之间的范德华力,制备出共价健稳定的平面六角hBN纳米片,均匀包覆在FeSiAl合金颗粒表面形成软磁复合材料。
图一 球磨工艺制备FeSiAl/hBN样品的对比图
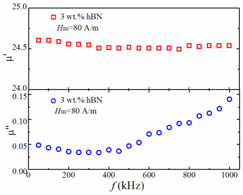
实验数据分析发现添加hBN可以有效降低磁损耗,通过损耗分离发现hBN包覆后的涡流损耗系数非常小,表明具有良好的绝缘作用。FeSiAhBNl/hBN复合材料在20 mT、1 MHz时磁损耗值相对较小,仅为175 kW/m3,远低于现有报道。实验结果说明FeSiAl/hBN复合材料具有优异的高频损耗特性,且在低频范围内发现了一种新的磁损耗特性,相对损耗随着频率的增加而降低,需要进一步研究其潜在的物理机制。通过磁谱分析表明FeSiAl/hBN软磁复合材料的截止频率较高,可适用于高频工作环境。
图二在20 mT时,测量FeSiAl/3 wt.% hBN复合材料的磁损耗随频率的变化关系

图三 hBN含量为3 wt.%的FeSiAl/hBN样品磁谱与频率f的关系
beat365官网物理与材料工程学院新能源材料与器件系教师倪江利为该论文的第一作者,该研究的相关及后续研究工作得到了安徽省高等学校科学研究项目和beat365在线唯一官网引进高层次人才科研资助项目的支持。